年龄对足球运动员职业生涯的影响
足球之路
足球之路大家好,今天我们分享年龄对足球运动员职业生涯的影响,希望大家喜欢!

高水平运动员年龄越来越大。技术、营养、准备、伤病预防、财政投入、科学知识和教练水平的提高是延长球员职业生涯的一些因素。
以网球为例,ATP(网球职业协会)排名前100名网球运动员的平均年龄从1985年的25岁,提高到2017年的29岁。如果在2003年,前100名中只有10名30岁以上的球员;而在2017年,这一数字是41名。
在游泳方面,从1964年到2012年,奥运会奖牌获得者的平均年龄从女子17.6岁增加到22岁,男子从20.8岁增加到24.5岁。
足球对这种运动员年纪越来越大的现象并不陌生。1992-1993赛季和2017-2018赛季参加冠军联赛的球员平均年龄从24.9岁增加到26.5岁,增加了1.6岁。
职业足球运动员通常在31到35岁之间结束他们的运动生涯,精英足球运动员平均持续时间为8到11年。一些研究表明,表现最佳的年龄在25到27岁之间,这取决于比赛中的位置。前锋的巅峰期(25岁左右)似乎比中场和后卫(27岁左右)更早。然而,人们对运动员从巅峰到退役的表现的变化过程却知之甚少。
最近的一项研究分析了年龄对桑坦德足球俱乐部球员身体和技战术表现的影响。为此,我们分析了154名球员在2012/2013和2019/2020赛季之间的比赛中的表现。入选标准是在被分析的时间内,在至少5个赛季中,每年至少打满5场比赛。这项研究的新颖之处在于它是一项纵向研究。同一名球员从很小的时候就开始被研究,直到他退役。平均每场比赛(15.2±7.0)次,共收集了14902次观察结果。分析包括37名中卫(3769次观察),44名边后卫(4233次观察),34名中场(3281次观察),22名内线前锋(1535次观察)和17名前锋(1274次观察)。
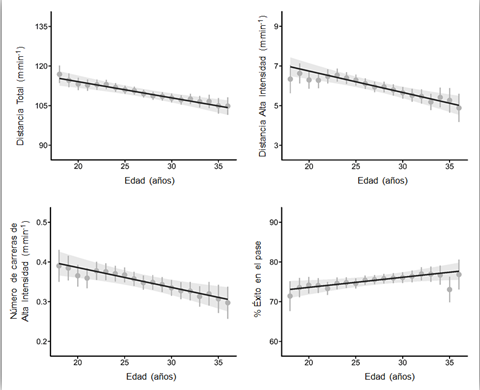
第一个数字显示了足球运动员覆盖的总距离是如何从他们年轻时达到的最高值每年减少0.56%的。高强度(>21.0 km/h)覆盖距离和高强度短跑次数每年分别减少1.80%和1.42%。然而,成功传球的百分比每年增加0.25%。

图1-球员在拉西加的整个运动生涯中的体能和技战术表现
在第二幅图中,我们看到了同样的信息,但考虑到足球运动员的具体位置。在总距离方面,年龄对边后卫、内线前锋和前锋的影响更大,他们每年分别减少了0.58%、0.81%和0.64%的距离。中卫(0.40%)和中场(0.37%)的下降幅度较小。同样,边后卫、内线前锋和前锋在高强度下的覆盖距离下降幅度(分别为1.99%、1.96%和2.32%)要高于中后卫和中场(分别为1.37%和0.89%)。在传球成功率方面,中后卫和中场球员的表现比年轻时分别提高了0.34%和0.43%。年龄对边后卫(0.10%)、内线前锋(0.20%)和前锋(0.21%)的影响较小。球员在所有特定位置完成高强度冲刺的次数也在逐年减少:中后卫(1.74%、边后卫(1.27%)、中场(1.15%)、内线前锋(2.16%)和前锋(1.52%)。

图2-根据球员的具体位置,球员在整个足球生涯中的身体和技战术表现的演变。(注:DC =中卫,LAT =边后卫,MC =中场,INT =内线前锋,DEL =前锋。)
简而言之,近年来足球运动员的平均年龄有所增加。球员们年龄正变得越来越大,这种变老的趋势以同样的方式表现在所有特定的位置上。身体表现(以不同强度行进的距离、最大速度和加减速能力)在30岁之后显著降低,在35岁之后更明显。然而,随着球员年龄的增长,技战术表现(传球、成功传球、踢球效率等)似乎略有提高。这些信息可以帮助俱乐部经理和教练在决定雇佣球员、薪水、合同期限或何时更换球员时提供指导。边后卫、内前锋和前锋似乎是受年龄影响最大的位置。最后强烈建议根据足球运动员的年龄定制微周期的训练计划和训练负荷。
今天的内容就到这里,更多精彩足球教学敬请继续关注足球之路!