六一儿童节前夕,苏州东吴足球俱乐部收到了一位热心...
苏州东吴足球俱乐部 @懂球帝
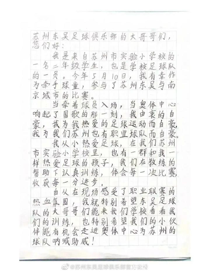
六一儿童节前夕,苏州东吴足球俱乐部收到了一位热心小球迷的来信,这位做过我们比赛球童的小球迷在信中他表达了自己对于足球的喜爱,并热情邀请我们的球员们来到他的学校来观看他们的训练和比赛。 在收到本封信件后,俱乐部派出张竟哲和徐春庆作为球员代表前往小球员所在学校—— 苏州市实验小学来观看小朋友们的比赛训练,他们纷纷表示希望能够将足球的快乐和自己多年踢球的经验分享给这些足球场上的未来之星们。 恰逢六一儿童节,张竟哲和徐春庆给足球队赠送了足球,对抗背心,训练器材,并邀请他们6月3号到现场观看主场比赛。在实小老师的介绍下登场,小朋友们对于两位职业球员的到来表示了极高的热情,并献上了热烈的掌声。随后两名球员带领决赛队伍的实小队员进行赛前热身,并提供了一些战术指导,为比赛进行了开球。听闻低年级足球队正在排练六一节目,队员特意去篮球馆探班并合影留念。 为大力支持苏州青少年足球的发展,从本年度联赛开始,俱乐部设立了公益看台,并邀请了苏州各大青训机构、中小学学生及幼儿园小朋友来到球场近距离观看比赛,其中包含了华师大苏州湾实验小学、苏州市实验小学、星海教育集团胜浦实验小学、彩香教育集团胥江中心小学、相城天元阳光花地幼儿园等学校及十余家苏州足协登记注册的青训机构,参与人数已逾千人,未来我们仍将在这条道路上继续前行,为苏州足球的腾飞做出俱乐部应有的贡献!









展开更多