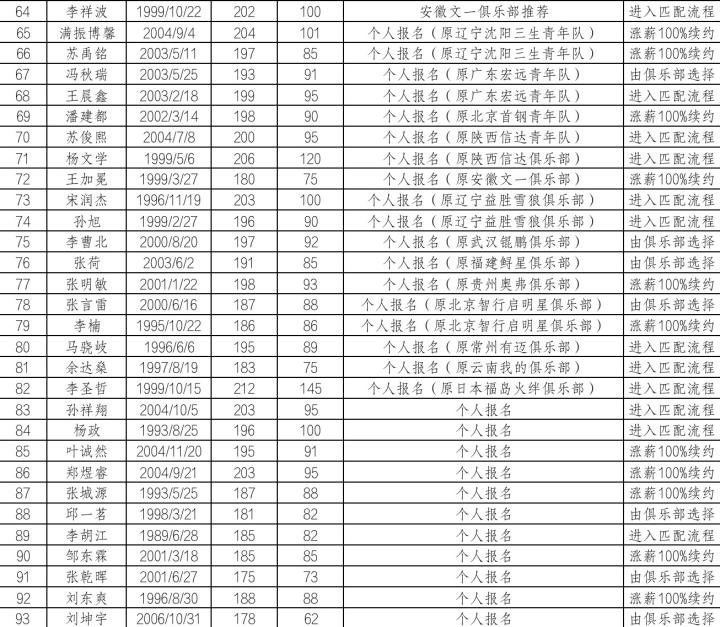
CBA公示参加2024年选秀球员名单:谢智杰在列,杨政参选海淀小冰 @懂球帝2024-07-03 21:28北京时间7月3日,CBA公司公布了今年参加CBA选秀大会的名单,合计97人。谢智杰、王凡懿、温淞、吴超在列,杨政、杨文学参选。CUBAL方面,谢智杰、王凡懿、温淞、吴超均报名参选。此外,前陕西信达中锋杨文学也报名参选。即将年满31岁的网红球员杨政个人报名参选。展开更多