2024乒乓球全锦赛男单:现役主力休战,许昕、闫安、侯英超等老将出山
mljjywh4115 @懂球帝
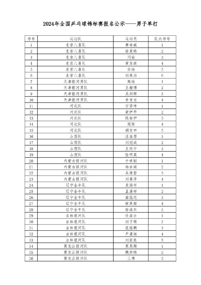
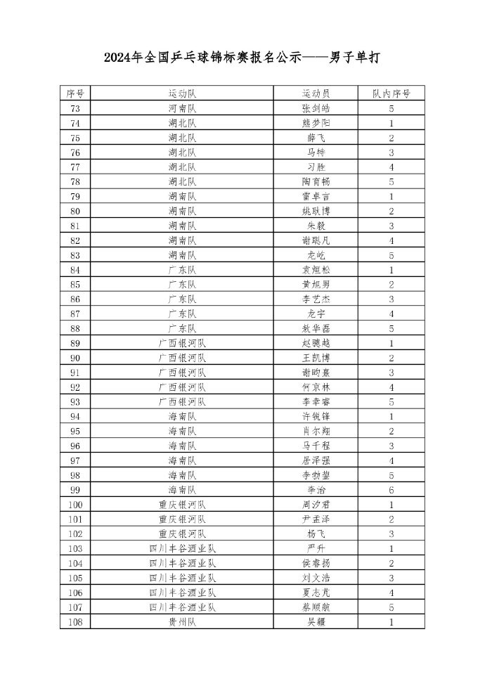
北京时间10月9日晚,2024乒乓球全国锦标赛男子单打各省市报名情况正式公示。由于近期,乒乓球各大赛事过于密集,因此本届全锦赛,王楚钦、梁靖崑、林高远、林诗栋等现役主力均选择休战,未报名男子单打。
现役国家队球员
虽主力球员并未报名,但徐晨皓、梁俨苧、曹巍、周恺、曾蓓勋、薛飞等国家队好手均报名参赛,冠军竞争依旧激烈。
老将报名
在公示名单中,也不乏一些已经淡出赛场的老将。

许昕依旧报名男子单打,在上一届全锦赛男单比赛中,许昕与小将徐海东开启“直板大战”,最终许昕1-3不敌对手,惨遭一轮游。
此外,削球好手侯英超和马特、曾进入世界排名前十的闫安、92一代名将周雨等人均报名参赛。




展开更多