2024乒乓球全锦赛女单:主力休战,钱天一、何卓佳领衔参赛阵容
mljjywh4115 @懂球帝
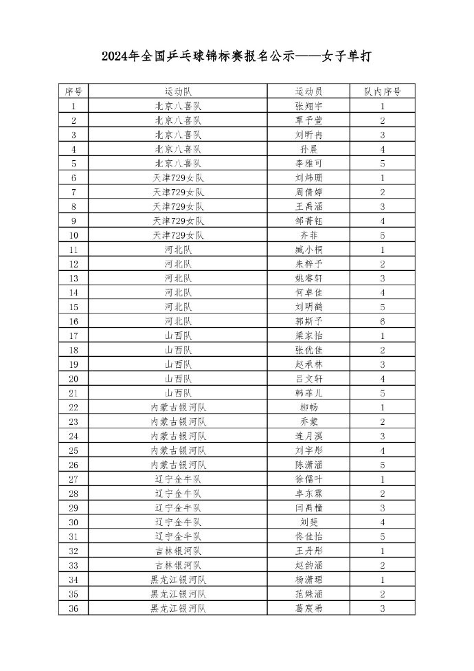
北京时间10月9日晚,2024乒乓球全国锦标赛女子单打报名正式公示。同男子单打一样,本站比赛,现役女队主力均选择休战。尽管如此,各省队报名人数依旧众多,共123位选手出战,参与冠军争夺。
值得一提的是,虽女队五大主力并未参赛,但钱天一、何卓佳、刘炜珊、孙铭阳、陈熠、李雅可等国家队球员依旧报名。此外,纵歌曼、覃予萱、韩菲儿等国乒小将也在名单之列。值得一提的是,削球好手刘斐也将出战本届全锦赛,可见女单冠军竞争依旧激烈。




展开更多