2024乒乓球全锦赛混双:林高远/刘诗雯再配队,将代表广东队出战
mljjywh4115 @懂球帝
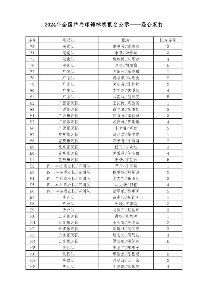
北京时间10月9日晚,2024乒乓球全国锦标赛混双项目保参赛名单公示。由于本届全锦赛国家队不配对且不允许跨省配对,因此王楚钦/孙颖莎、林诗栋/蒯曼等熟知组合并未能参赛。但纵观参赛名单,依旧是亮眼颇多。

广东队派出林高远/刘诗雯出战。事实上,二人并不是第一次配对参赛,在2016年全国锦标赛中,二人便斩获混双冠军。据广东乒乓球队消息,二人还将搭档组合参加2025粤港澳大湾区全运会。
北京队则是以老带新,由徐晨皓搭档06年小将覃予萱出战。此外,削球老将侯英超/刘斐也将再搭档,看是否能上演双削奇迹。




展开更多